Anuario de pesca 2022
Capítulo 3: Especies
Principais lonxas
Vendas por zona
Evolución por zona
Principais especies en Kg
Principais especies en euros
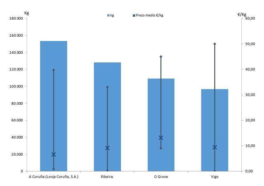
Principais lonxas con vendas de centola ou centolo
Nº días
kg
%
Euros
%
Euros/kg
A Coruña (Lonja Coruña, S.A.)
159
153.574
21,92%
1.001.444
15,52%
6,52
Ribeira.
164
128.112
18,28%
1.171.792
18,16%
9,15
O Grove
157
108.974
15,55%
1.426.497
22,11%
13,09
Vigo
158
96.672
13,80%
910.946
14,12%
9,42